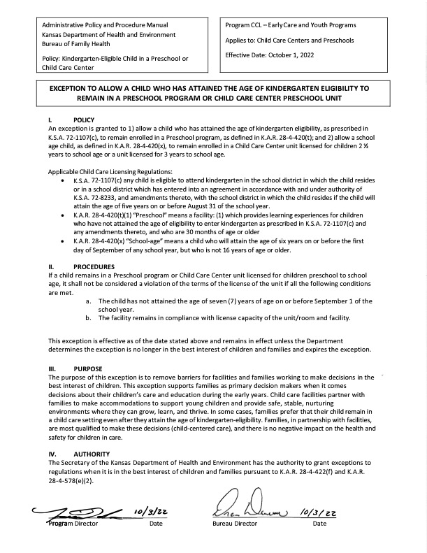
Children must be at least 3 years of age and not yet in Kindergarten on or before they start at New Creation Preschool. According to an October 2022 exception from the State of Kansas, children can attend preschool as long as they have not attained the age of seven (7) years of age on or before September 1 of the school year.

ADMISSION POLICY: According to K.A.R. 28-4-426 (b) our Admission Policy is as follows:
(1) Children are eligible for admission into New Creation Preschool as spaces come available according to our license. Families are encouraged to sign up on our Waiting List after which point Kristin will contact them with any openings.
Once a child is enrolled and before attending, all forms required by KDHE and New Creation Preschool must be submitted and reviewed by the director:
- Enrollment Application
- Financial Agreement
- Medical Record* (including a list of people permitted to drop off/pick up)
- History of Immunizations*
- Child Health Assessment*
- Emergency Medical Release*
- Internet/Media Release
- Allergy Response Form (if applicable)
*KDHE required
(2) Each of our admission policies are non-discriminatory in regard to race, color, religion, national origin, ancestry, handicap or sex, in accordance with K.S.A. 44-1009 and our NCFC welcoming statement.
(3) Families are given our Family Handbook which informs them on the following: the schedule available including drop off/pick up procedures, tuition options based on income/financial need, philosophy and methodology, discipline policy and safety procedures, daily routine and curriculum.
(4) Families are informed that while New Creation Preschool is an outreach of New Creation Fellowship Church, a member of Mennonite Church USA, no specific theology or doctrine is taught or encouraged.
CHILDREN’S RECORDS: Each child has a file containing a Registration Form completed by staff, the aforementioned enrollment forms and any Critical Incident Reports. A record of attendance is kept for each child. Children’s records are available to parent/guardian and are destroyed once a child is no longer enrolled.
